随着计算机的普及,很多教师朋友都告别了当年一手蜡纸、钢针笔和一手油印机的“墨器时代”,转而采用电脑来编排材料、试卷。但随之问题也来了,在 “墨器时代”大家印的材料都是手写体,理科字符、公式不需要那么多规范(规范了也看不出来)。而到了现在“电器时代”使用印刷体字符排印,不规范的理科字符、公式之丑陋就顿时显现出来了。
大家请看图1两段相同内容文字按不同样式打印的结果:

图1 相同内容但风格迥异的理科排版打印效果
显然大家直观就感觉下方的排版特别舒服:上方是一位初学者的排版效果,下方是一位有从业经验的中学教辅材料编辑员的排版效果。翻开物理课本、正规出版的理科材料乃至原版高考试卷我们也都会发现其中理科字符、公式从字体到何时使用斜体都与图1下方排版一致。究其原因在于这些字符公式样式都表示其数学或物理含义,有其国家标准,不能随意置换。
以下我将给大家细细道来。
1.使用字体
有人会问公式不就是ABC=DE嘛,怎么还有区别?
在专业书上我们常常看到如图2,同一个字母因为字体不同而代表不同意思:

图2 同一字母不同字体
由此可见确定字体的重要性。所幸在中学阶段,我们没有涉及那么多各种各样的字符,其中主要就是拉丁字母(xyzabc)、希腊字母(αβγδε)和数学符号(±≡≤∑∏∥)。
在理科字符印刷体上,表示变量、单位等的拉丁字母推荐使用罗马(Roman)体类字体。作为一种边缘棱角分明极易阅读的字体(类似于中文的宋体),罗马体是几百年来科技界的标准字体(图3)。

图3 罗马体及与其相对的哥特体
现在我们常用的罗马字体是Windows系统内置的“Times New Roman”,如果你不能确定看到的字符是什么字体的,可以将光标选中某一个字母,WPS软件上的字体栏会显示字体名字。
我们回到图1,大家也可在附件中取得该文件。在WPS中选择上方段落的某个西文字母,我们看到字体是“宋体”。而“宋体”中的西文字母部分设计十分难看而且其斜体和粗体效果均不好,故而应该把该段西文字体改为“Times New Roman”。
您当然可以分次选中其中的单词更改字体,但较为麻烦。因为WPS将中文和西文字体分开处理,我们可以同时选中含有这类字符的一个或几个段落,单击鼠标右键→“字体”,在弹出的“字体”对话框中(图4)将“西文字符”改为“Times New Roman”,如此不但批量更改了西文字体而且从该段字后也会服从上面的特性。

图4 字体对话框
希腊字母是物理学常用也是非常令人头痛的字符类型,它不像拉丁字母那样可以直接由键盘敲入而导致一些人的困扰。其实有很多方法可以录入希腊字母:
(1). 通过汉字输入法
几乎在所有的汉字输入法工具条上单击右键出现的菜单中都有“软键盘”一项,选中其下级菜单中的“希腊字母”,在弹出的小键盘中即可点选输入希腊字母了(图5)。

图5 输入法的希腊字母小键盘
(2). 通过“符号”对话框
点选字处理软件菜单“插入”→“符号”,可以开启“符号”对话框。确定好“字体”项,再设置“子集”为“基本希腊语”,即可通过点选在文本光标处插入希腊字符(图6)。

图6 “符号”对话框
这里关键在于输入希腊字母的效果问题。两种方法默认输入的字体是“宋体”,都需要更改为“Times New Roman”才能使用。
2.字符修饰
翻开教科书和高考试卷,我们可以发现里面公式不是随意键入诸如F = ma即可。而是要做如F = ma这样的变化。这就是所谓理科公式符号需要遵循的数学字符修饰规则。要对有特定含义的字符应进行加粗、加斜等处理。
原型
◆单 位:如Nm(牛米),rad(弧度),m/s2(米每平方秒),(欧姆)
◆专用函数:如sin( αt ),ln 2,中的sin与ln
◆算子符号:如dx而非dx,lim而非lim
◆数学常量:如圆周率π,自然指数e,虚数单位i j (物理常量如G,c需加斜)
◆数 字:如3.14,15.68,9.8
◆标点符号:如括号( ),加号+
◆事物名称:如物体A,小车B
◆标 签:如f摩擦=0,Tbox = 16 N中的下标
◆选 择 支:如 A. 1 + 1=1 B. 1 + 1 > 1
◆汉 字:汉字在历史上没有斜体写法,电脑上的斜体都是针对西文的。
加斜
◆变 量:如质量m,随机变量x
◆变动标符:如xi中的i
◆普通函数:如f (x , y)中的f
◆点弧线段:如点A,线段AB,弧CD
◆临时常量:如某些条件下设为常量的a ,b
加粗
◆数 集:如实数集R,整数集Z
◆向(矢)量:如a = 2i + 3j + 3k中的a i j k(向量印刷体因为不易增加上方的→号而应加粗表示,同时若是变量或临时常量需要遵循加斜的原则)
◆矩 阵:如矩阵AB = I(原理同向量)
因为在大批量输入全部公式后更改特别困难。这时候可以使用快捷键在输入公式时就设置字符修饰。加粗:Ctrl + B、加斜:Ctrl + I,快捷键使用两次相当于取消。
3.上下标使用
上下标是理科公式常用符号位置,也遵从符号修饰的规则。具体设置方式是在键入欲置于上下标位置的字符前(或键入后选中该字符)点击快捷工具栏上 “上标”(“下标”)图形按钮。若找不到该按钮,可在选中字符后单击右键→“字体”,在弹出的字体对话中勾选“上标”(“下标”)选项处(图7)。

图7 快捷工具栏上“上标”(“下标”)图形按钮
我们也可使用快捷键操作,上标:Ctrl + Shift + = 下标:Ctrl + = 使用两次也相当于取消。
4.公式编辑器
现在主流的字处理软件都有附带公式编辑,为复杂公式的录入提供了便捷的解决办法。
我在这里简单介绍一下WPS Office 2010中附带的公式编辑器(该编辑器也是Micrsoft Office 2003的公式编辑器)。在将输入标志置于欲输入公式的位置,工具栏上点击公式编辑器图形按钮或点击菜单栏“插入”→“公式”,在打开的“公式编辑器”对话框中通过输入和选择即可得到相应的复杂公式(图8)。

图8 WPS内置公式编辑器
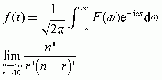
其输入效果如图9,图1中上段中分式是由文本框拼合而成,而下段是公式编辑器编辑的,美观多了。

图9 公式编辑器编辑的公式
这里有几点要注意的:
◆在公式输入过程中特别多字母不能转化为正规格式。如 数学常量e、算子d等尝尝会被显示为斜体。应当在公式输入好后选中它们并点击公式编辑器菜单栏样式文字来将它们改为正体。当然样式中的选项还可以修饰诸如矩阵这样的符号。
◆使用公式编辑器在文件中输入的文字格式特殊,不易修改而且会破坏文件原有的行间距使文本不美观。因而若非根式,积分等难以输入的公式,请慎用公式编辑器。若不得不使用,请最好使该公式单独成行。
◆WPS Office中的公式编辑器功能单一,推荐下载MathType(系原公式编辑器的官方升级版本)。使用方法一样,功能更强大。
◆因为公式编辑器使用了特殊的字体,因而若需打印或传递文件请输出成嵌入字体的PDF文件或确保对方也安装了公式编辑器。
5. 编排建议
公式符号编排要与文本匀称,这里摘抄了清华大学出版社出版的《译著者手册》中的建议。
◆较长的公式需要转行时,首先考虑等号(大于,小于)处,其次考虑运算符号处。其中在乘号处转行,乘号不能省略,应标识为“”。
◆非独立成行的公式应尽量写成横式1/a或负幂a -1,不要用叠式,节省版面又美观。必要时要加括号避免歧义,如x / y / z会有歧义,( x / y) / z则没有。
◆复杂的指数函数式应使用exp排为横式,如e(ab+1)/(cd+5)可写为exp[(ab+1)/(cd+5)]。
◆乘式中字母与数符间、括号间的乘号要省略,如absin( αb ),(ab+1)(cd+5)。
相信大家通过阅读本文,对理科字符、公式排版有了一定的了解。大家排版的过程中如果时常有意识将排版效果接近于教科书或正式出版物,这些排版规则是容易熟练掌握的。